Олимпиадный тренинг

Задача . D. Сильные вершины


Даны два массива \(a\) и \(b\), оба длины \(n\). Элементы обоих массивов пронумерованы от \(1\) до \(n\). Вы строите ориентированный граф, где существует ориентированное ребро из \(u\) в \(v\) (\(u\neq v\)), если \(a_u-a_v \ge b_u-b_v\).

Вершина \(V\) называется сильной, если существует путь от \(V\) ко всем остальным вершинам.

Путем в ориентированном графе называют такую цепочку из нескольких вершин, соединенных рёбрами, что двигаясь от вершины \(u\) по направлениям рёбер можно достичь вершины \(v\).

Ваша задача — найти все сильные вершины.

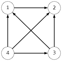
Например, если \(a=[3,1,2,4]\) и \(b=[4,3,2,1]\), граф будет выглядеть так:

Граф имеет только одну сильную вершину с номером \(4\)
Входные данные

Первая строка содержит целое число \(t\) (\(1\le t\le 10^4\)) — количество наборов входных данных.

Первая строка каждого набора содержит целое число \(n\) (\(2 \le n \le 2\cdot 10^5\)) — длину \(a\) и \(b\).

Вторая строка содержит \(n\) целых чисел \(a_1,a_2 \dots a_n\) (\(-10^9 \le a_i \le 10^9\)) — массив \(a\).

Третья строка содержит \(n\) целых чисел \(b_1,b_2 \dots b_n\) (\(-10^9 \le b_i \le 10^9\)) — массив \(b\).

Гарантируется, что сумма значений \(n\) по всем наборам входных данных не превышает \(2\cdot 10^5\).

Выходные данные

Для каждого набора входных данных выведите две строки: в первой строке выведите количество сильных вершин, а во второй строке выведите все сильные вершины в возрастающем порядке.

Примечание

Первый пример разобран в условии.

Для второго примера граф выглядит так:

Граф имеет две сильные вершины с номерами в \(3\) и \(5\). Обратите внимание, что между вершинами \(3\) и \(5\) проведено двунаправленное ребро.

В третьем примере вершины соединяет единственное направленное ребро от вершины \(2\) к вершине \(1\), поэтому единственная сильная вершина это \(2\).

В четвертом примере все вершины попарно соединены двунаправленными рёбрами, поэтому от каждой вершины есть путь к любой другой.


Примеры
Входные данныеВыходные данные
1 5
4
3 1 2 4
4 3 2 1
5
1 2 4 1 2
5 2 3 3 1
2
1 2
2 1
3
0 2 1
1 3 2
3
5 7 4
-2 -3 -6
1
4 
2
3 5 
1
2 
3
1 2 3 
2
2 3

time 2000 ms
memory 256 Mb
Правила оформления программ и список ошибок при автоматической проверке задач

Статистика успешных решений по компиляторам
 Кол-во
С++3
Комментарий учителя