Олимпиадный тренинг

Задача . F. Саша и свадебное бинарное дерево поиска


Пройдя все трудности и невзгоды, Саша наконец решил жениться на своей девушке. Для этого нужно подарить ей обручальное кольцо. Однако его девушке не нравятся подобные романтические жесты, но нравятся бинарные деревья поиска\(^{\dagger}\). Поэтому Саша решил ей подарить такое дерево.

Проведя немало времени на свадебных сайтах для программистов, он нашел идеальное бинарное дерево поиска с корнем в вершине \(1\). В нём значение в вершине \(v\) равно \(val_v\).

Но спустя некоторое время он забыл значения в некоторых вершинах. Пытаясь вспомнить найденное дерево, Саша задался вопросом — сколько существует бинарных деревьев поиска, которые он мог найти на сайте, если известно, что значения во всех вершинах являются целыми числами и принадлежат отрезку \([1, C]\). Поскольку это число может быть очень большим, выведите его по модулю \(998\,244\,353\).

\(^{\dagger}\)Бинарным деревом поиска называется корневое бинарное дерево, у которого для любой вершины \(x\) выполняется свойство: значения всех вершин в левом поддереве вершины \(x\) (если оно существует) меньше или равны значению в вершине \(x\) и значения всех вершин в правом поддереве вершины \(x\) (если оно существует) больше или равны значению в вершине \(x\).

Входные данные

Каждый тест состоит из нескольких наборов входных данных. Первая строка содержит одно целое число \(t\) (\(1 \le t \le 10^5\)) — количество наборов входных данных. Далее следует описание наборов входных данных.

Первая строка каждого набора входных данных содержит два целых числа \(n\) и \(C\) (\(2 \leq n \leq 5 \cdot 10^5\), \(1 \leq C \leq 10^9\)) — количество вершин в дереве и максимально допустимое значение в вершине.

Следующие \(n\) строк описывают вершины дерева. \(i\)-я из них содержит три целых числа \(L_i, R_i\) и \(val_i\) (\(-1 \le L_i, R_i \le n\), \(-1 \le val_i \le C\), \(L_i, R_i, val_i \ne 0\)) — номер левого сына, правого сына и значение в \(i\)-й вершине, соответственно. Если \(L_i = -1\), то у \(i\)-й вершины нет левого сына. Если \(R_i = -1\), то у \(i\)-й вершины нет правого сына. Если \(val_i = -1\), то значение в \(i\)-й вершине неизвестно.

Гарантируется, что существует хотя бы одно подходящее бинарное дерево поиска.

Гарантируется, что сумма \(n\) по всем наборам входных данных не превосходит \(5 \cdot 10^5\).

Выходные данные

Для каждого набора входных данных выведите единственное целое число — количество подходящих бинарных деревьев поиска по модулю \(998\,244\,353\).

Примечание

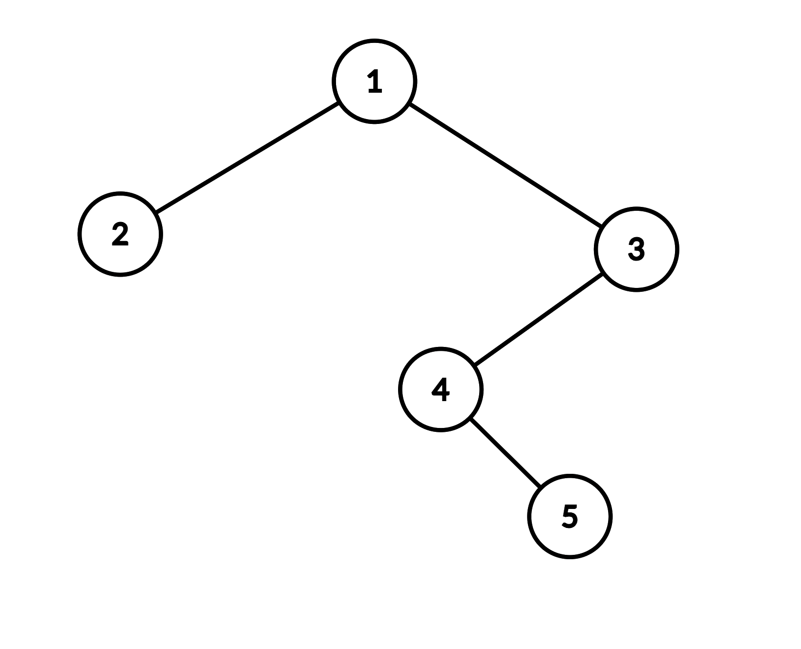
В первом наборе входных данных, бинарное дерево поиска имеет следующий вид:

Тогда возможными значениями в вершинах являются: \([2, 2, 3, 2, 2]\), \([2, 2, 3, 2, 3]\), \([2, 2, 3, 3, 3]\) и \([3, 2, 3, 3, 3]\).

Во втором наборе входных данных значения во всех вершинах известны, поэтому существует единственное подходящее бинарное дерево поиска.


Примеры
Входные данныеВыходные данные
1 3
5 5
2 3 -1
-1 -1 2
4 -1 3
-1 5 -1
-1 -1 -1
3 69
2 3 47
-1 -1 13
-1 -1 69
3 3
2 3 -1
-1 -1 -1
-1 -1 -1
4
1
10

time 2000 ms
memory 256 Mb
Правила оформления программ и список ошибок при автоматической проверке задач

Статистика успешных решений по компиляторам
 Кол-во
С++ Mingw-w643
Комментарий учителя