Олимпиадный тренинг

Задача . F. Дерево Андрея


Магистр Андрей очень любит деревья\(^{\dagger}\), поэтому у него есть дерево, состоящее из \(n\) вершин.

Но не все так просто. Магистр Тимофей решил украсть одну вершину из дерева. Если Тимофей украл вершину \(v\) из дерева, то вершина \(v\) и все ребра с концом в вершине \(v\) удаляются из дерева, при этом номера других вершин не меняются. Чтобы Андрей не расстраивался, Тимофей решил сделать получившийся граф снова деревом. Для этого он может добавлять ребра между произвольными вершинами \(a\) и \(b\), однако при добавлении такого ребра он должен заплатить \(|a - b|\) монет в Центр Помощи Магистрам.

Обратите внимание, что получившееся дерево не содержит вершину \(v\).

Тимофей не определился, какую вершину \(v\) он удалит из дерева, поэтому он хочет знать для каждой вершины \(1 \leq v \leq n\), какое минимальное количество монет нужно потратить, чтобы после удаления вершины \(v\) сделать граф снова деревом, а также какие ребра при этом нужно добавить.

\(^{\dagger}\)Деревом называется неориентированный связный граф без циклов.

Входные данные

Каждый тест состоит из нескольких наборов входных данных. Первая строка содержит одно целое число \(t\) (\(1 \le t \le 10^4\)) — количество наборов входных данных. Далее следует описание наборов входных данных.

Первая строка каждого набора входных данных содержит одно целое число \(n\) (\(5 \le n \le 2\cdot10^5\)) — количество вершин в дереве Андрея.

В следующих \(n - 1\) строках содержится описание ребер дерева. \(i\)-я из этих строк содержит два целых числа \(u_i\) и \(v_i\) (\(1 \le u_i, v_i \le n\)) — номера вершин, соединённых \(i\)-м ребром.

Гарантируется, что данные рёбра образуют дерево.

Гарантируется, что сумма \(n\) по всем наборам входных данных не превосходит \(2\cdot10^5\).

Выходные данные

Для каждого набора входных данных выведите ответ в следующем формате:

Для каждой вершины \(v\) (в порядке от \(1\) до \(n\)) в первой строке выведите два целых числа \(w\) и \(m\) — минимальное количество монет, которое нужно потратить, чтобы граф после удаления вершины \(v\) снова стал деревом, и количество добавленных ребер.

Далее выведите \(m\) строк, каждая из которых содержит два целых числа \(a\) и \(b\) (\(1 \le a, b \le n, a \ne v, b \ne v\), \(a \ne b\)) — концы добавленного ребра.

Если существует несколько способов добавить ребра, вы можете вывести любое решение с минимальной стоимостью.

Примечание

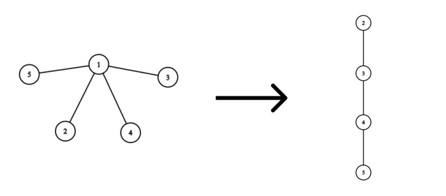
В первом наборе входных данных:

Рассмотрим удаление вершины \(4\):

Оптимальным решением будет провести ребро из вершины \(5\) в вершину \(3\). Тогда мы потратим \(|5 - 3| = 2\) монеты.

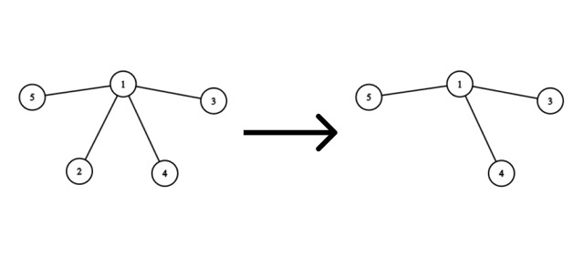
В третьем наборе входных данных:

Рассмотрим удаление вершины \(1\):

Оптимальным решением будет:

  • Провести ребро из вершины \(2\) в вершину \(3\), потратив \(|2 - 3| = 1\) монету.
  • Провести ребро из вершины \(3\) в вершину \(4\), потратив \(|3 - 4| = 1\) монету.
  • Провести ребро из вершины \(4\) в вершину \(5\), потратив \(|4 - 5| = 1\) монету.

Тогда сумарно мы потратим \(1 + 1 + 1 = 3\) монеты.

Рассмотрим удаление вершины \(2\):

Ребра проводить не нужно, так как после удаления вершины граф останется деревом.


Примеры
Входные данныеВыходные данные
1 3
5
1 3
1 4
4 5
3 2
5
4 2
4 3
3 5
5 1
5
2 1
1 5
1 4
1 3
1 1
3 4

0 0

1 1
1 2

2 1
3 5

0 0

0 0

0 0

1 1
1 2

1 1
1 2

1 1
1 2

3 3
2 3
4 5
3 4

0 0

0 0

0 0

0 0

time 4000 ms
memory 256 Mb
Правила оформления программ и список ошибок при автоматической проверке задач

Статистика успешных решений по компиляторам
 Кол-во
С++ Mingw-w643
Комментарий учителя