Олимпиадный тренинг

Задача . B. Медвежонок и поиск преступников


В Беарляндии n городов, пронумерованных целыми числами от 1 до n. Города расположены на одной длинной прямой. Расстояние между городами i и j равняется |i - j|.

Лимак живёт в городе a и работает в полиции. Он занимается поимкой преступников, а это достаточно сложно сделать, когда не знаешь, где преступники спрятались. Достоверно известно, что в каждом городе находится не более одного преступника.

Лимак собирается применить БВД (Беарляндский Высокоточный Детектор), который для каждого расстояния d определит, сколько преступников находится на расстоянии d от города a. После этого Лимак может поймать преступников в тех городах, про которые он точно уверен, что в них прячутся преступники.

Вам известно расположение преступников, определите, скольких из них поймает Лимак, используя БВД.

Входные данные

В первой строке входных данных записаны два числа n и a (1 ≤ a ≤ n ≤ 100) — количество городов в Беарляндии и номер города, в котором живёт Лимак, соответственно.

Во второй строке находятся n целых чисел t1, t2, ..., tn (0 ≤ ti ≤ 1), i-е из которых означает, что в городе i прячутся ti преступников.

Выходные данные

Выведите количество преступников, которых поймает Лимак.

Примечание

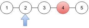
В первом примере имеется шесть городов, и Лимак живёт в третьем из них (синяя стрелочка на рисунке). Преступники отмечены красным.

Используя БВД Лимак получит следующую информацию:

  • Один преступник находится на расстоянии 0 от третьего города — Лимак может быть уверен, что преступник находится в городе 3.
  • Один преступник находится на расстоянии 1 от третьего города — Лимак не знает, находится ли он в городе 2 или в городе 4.
  • На расстоянии 2 от третьего города находятся 2 преступника — Лимак точно знает, что один преступник находится в городе 1 и один преступник в городе 5.
  • На больших расстояниях преступников нет.

Таким образом, Лимак поймает преступников в городах 1, 3 и 5, то есть ответ 3.

Во втором примере (рисунок ниже), БВД даёт Лимаку информацию, что один преступник находится на расстоянии 2 от города Лимака. Поскольку есть только один город на расстоянии 2, то Лимак точно знает, что там находится преступник.


Примеры
Входные данныеВыходные данные
1 6 3
1 1 1 0 1 0
3
2 5 2
0 0 0 1 0
1

time 2000 ms
memory 256 Mb
Правила оформления программ и список ошибок при автоматической проверке задач

Статистика успешных решений по компиляторам
 Кол-во
С++ Mingw-w645
Комментарий учителя