Рассмотрим корневое дерево. В корневом дереве есть одна выделенная вершина — корень. Все ребра ориентированы по направлению от корня. Вершина u является ребенком вершины v, а вершина v является родителем вершины u, если существует ориентированное ребро из v в u. Листом корневого дерева называется вершина, у которой нет детей, и есть родитель.
Назовем корневое дерево елкой, если у каждой вершины, не являющейся листом, хотя бы 3 ребенка являются листами. Вам дано корневое дерево, проверьте, является ли оно елкой.
Определение корневого дерева можно прочитать по ссылке.
Выходные данные
Выведите «Yes», если дерево является елкой, и «No» иначе.
Примечание
Первый пример:

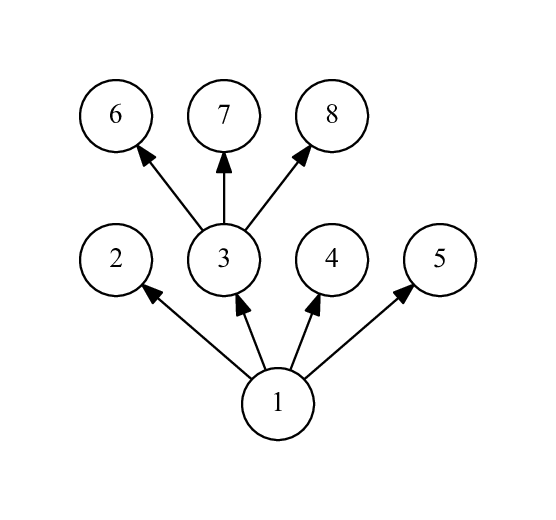
Второй пример:

Это не елка, потому что у вершины 1, которая не является листом, только 2 ребенка являются листьями.
Третий пример:

| № | Входные данные | Выходные данные |
|
1
|
4
1
1
1
|
Yes
|
|
2
|
7
1
1
1
2
2
2
|
No
|
|
3
|
8
1
1
1
1
3
3
3
|
Yes
|