Олимпиадный тренинг

Задача . G. Дерево wxhtzdy ORO


После (наконец-то) прохождения отбора на IOI 2023, wxhtzdy был очень счастлив и решил сделать то, что делают многие люди: попытаться угадать задачи, которые будут на IOI. В процессе этого он случайно создал задачу, которая, по его мнению, была очень крутой.

Дано дерево (связный ациклический граф) с \(n\) вершинами и \(n-1\) ребром. Вершине \(i\) (\(1 \le i \le n\)) соответствует значение \(a_i\). Пусть \(g(u, v)\) - это побитовое ИЛИ значений всех вершин на кратчайшем пути от \(u\) до \(v\). Например, если мы хотим вычислить \(g(3, 4)\) на дереве из первого набора данных примера. На пути от \(3\) до \(4\) находятся вершины \(3\), \(1\), \(4\). Тогда \(g(3, 4) = a_3 \ | \ a_1 \ | \ a_4\) (здесь \(|\) обозначает побитовое ИЛИ).

Также дано \(q\) запросов, и каждый запрос выглядит следующим образом:

Вам даны \(x\) и \(y\). Рассмотрим все вершины \(z\) такие, что \(z\) находится на кратчайшем пути от \(x\) до \(y\) (включительно).

Определим красоту вершины \(z\) как сумму количества ненулевых битов в \(g(x, z)\) и количества ненулевых битов в \(g(y, z)\). Вам нужно найти максимальную красоту среди всех вершин \(z\) на кратчайшем пути от \(x\) до \(y\).

Так как его мозг очень устал после решения output only задачи на SIO (он должен был это сделать, чтобы пройти отбор на IOI), он хочет вашей помощи в этой задаче.

Входные данные

Первая строка ввода содержит одно целое число \(t\) (\(1 \le t \le 10^4\)) — количество наборов входных данных.

Первая строка каждого набора содержит одно целое число \(n\) (\(1 \le n \le 2 \cdot 10^5\)) — количество вершин.

Вторая строка каждого набора содержит \(n\) положительных целых чисел \(a_1, a_2, \dots, a_n\) (\(1 \le a_v \le 10^9\)) — значение каждой вершины, \(i\)-е число в этой строке соответствует вершине \(i\).

Следующие \(n - 1\) строк описывают дерево.

Каждая строка содержит два целых числа \(u\) и \(v\) (\(1 \le u, v \le n, u \ne v\)) указывающие, что вершины \(u\) и \(v\) соединены ребром.

Следующая строка содержит одно целое число \(q\) (\(1 \le q \le 10^5\)) — количество запросов.

Следующие \(q\) строк содержат 2 целых числа \(x, y\) (\(1 \le x, y \le n\)) — вершины \(x\) и \(y\) для каждого запроса.

Гарантируется, что сумма \(n\) по всем наборам не превышает \(2 \cdot 10^5\).

Гарантируется, что сумма \(q\) по всем наборам не превышает \(10^5\).

Выходные данные

Для каждого набора входных данных выведите \(q\) целых чисел, каждое из которых является ответом на соответствующий запрос.

Примечание

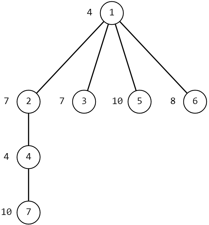
На изображении ниже показано дерево из первого набора входных данных второго примера.

Дерево из первого набора входных данных второго примера.

В первом запросе \(x=7\), \(y=5\). Самый короткий путь от \(7\) до \(5\) это \(7-4-2-1-5\).

Давайте вычислим красоту вершины \(7\) на этом пути. У нас есть \(g(7,7)=a_7=10=(1010)_2\) и \(g(5,7)=a_5 \ | \ a_1 \ | \ a_2 \ | \ a_4 \ | \ a_7=10 \ | \ 4 \ | \ 7 \ | \ 4 \ | \ 10=15=(1111)_2\), поэтому ее красота равна \(2 + 4 = 6\).

Теперь давайте вычислим красоту вершины \(4\) на этом пути. У нас есть \(g(7,4)=a_7 \ | \ a_4=10 \ | \ 4=14=(1110)_2\) и \(g(5,4)=a_5 \ | \ a_1 \ | \ a_2 \ | \ a_4=10 \ | \ 4 \ | \ 7 \ | \ 4=15=(1111)_2\), поэтому ее красота равна \(3 + 4 = 7\).

Теперь давайте вычислим красоту вершины \(2\) на этом пути. У нас есть \(g(7,2)=a_7 \ | \ a_4 \ | \ a_2=10 \ | \ 4 \ | \ 7=15=(1111)_2\) и \(g(5,2)=a_5 \ | \ a_1 \ | \ a_2=10 \ | \ 4 \ | \ 7=15=(1111)_2\), поэтому ее красота равна \(4 + 4 = 8\).

Теперь давайте вычислим красоту вершины \(1\) на этом пути. У нас есть \(g(7,1)=a_7 \ | \ a_4 \ | \ a_2 \ | \ a_1=10 \ | \ 4 \ | \ 7 \ | \ 4=15=(1111)_2\) и \(g(5,1)=a_5 \ | \ a_1=10 \ | \ 4=14=(1110)_2\), поэтому ее красота равна \(4 + 3 = 7\).

Наконец, давайте вычислим красоту вершины \(5\) на этом пути. У нас есть \(g(7,5)=a_7 \ | \ a_4 \ | \ a_2 \ | \ a_1 \ | \ a_5=10 \ | \ 4 \ | \ 7 \ | \ 4 \ | \ 10=15=(1111)_2\) и \(g(5,5)=a_5=10=(1010)_2\), поэтому ее красота равна \(4 + 2 = 6\).

Максимальная красота на этом пути у вершины \(2\), и она равна \(8\).


Примеры
Входные данныеВыходные данные
1 3
4
1 2 3 4
1 3
1 2
1 4
3
1 1
1 3
1 4
3
7 6 3
3 1
2 1
4
1 1
1 2
1 3
2 3
1
4
1
1 1
2 4 3 
6 6 6 6 
2
2 3
7
4 7 7 4 10 8 10
6 1
3 1
2 1
7 4
1 5
4 2
4
7 5
2 3
4 5
2 5
6
9 5 6 2 4 6
5 1
2 1
1 6
4 3
1 3
4
6 1
1 4
4 3
3 5
7
5 1 3 7 5 1 6
2 1
5 4
2 3
3 4
7 6
6 3
2
4 2
7 7
8 6 7 7 
6 6 4 7 
6 4
3 1
7
6 8 7 2 5 8 7
2 1
3 2
4 3
4 6
4 5
6 7
4
1 5
6 7
4 5
1 4
7 7 5 7

time 5000 ms
memory 256 Mb
Правила оформления программ и список ошибок при автоматической проверке задач

Статистика успешных решений по компиляторам
 Кол-во
С++ Mingw-w643
Комментарий учителя