Олимпиадный тренинг

Задача . G. Влад и проблемы в МИТ


У Владислава есть сын, который очень хотел поступить в МИТ. Общежитие колледжа в МИТ (Молдавский институт технологий) можно представить в виде дерева с \(n\) вершинами, где каждая вершина представляет собой комнату с ровно одним студентом. Дерево — это связный неориентированный граф с \(n\) вершинами и \(n-1\) ребром.

Сегодня ночью есть три типа студентов:

  • студенты, которые хотят веселиться и слушать музыку (обозначены \(\texttt{P}\)),
  • студенты, которые хотят спать и наслаждаться тишиной (обозначены \(\texttt{S}\)), и
  • студенты, которым не важно, что делать ночью (обозначены \(\texttt{C}\)).

Изначально все рёбра представляют собой тонкие стены, которые позволяют музыке проходить через них, поэтому когда веселящийся студент включает музыку, её можно услышать в каждой комнате. Однако мы можем установить толстые стены на любые рёбра — толстые стены не позволяют музыке проходить через них.

Университет хочет установить несколько толстых стен, чтобы каждый веселящийся студент мог слушать музыку, и ни один спящий студент не мог её услышать.

Поскольку университет потерял много денег в судебном процессе о правах на наименование, они просят вас найти минимальное количество толстых стен, которые им придется использовать.

Входные данные

Первая строка содержит одно целое число \(t\) (\(1 \leq t \leq 1000\)) — количество наборов входных данных.

Первая строка каждого набора содержит целое число \(n\) (\(2 \leq n \leq 10^5\)) — количество вершин в дереве.

Вторая строка каждого набора входных данных содержит \(n-1\) целых чисел \(a_2, \dots , a_n\) (\(1 \leq a_i < i\)) — это означает, что есть ребро между \(i\) и \(a_i\) в дереве.

Третья строка каждого набора входных данных содержит строку \(s\) длиной \(n\), состоящую из символов \(\texttt{P}\), \(\texttt{S}\) и \(\texttt{C}\), обозначающих, что студент \(i\) относится к типу \(s_i\).

Сумма \(n\) по всем наборам входных данных не превышает \(10^5\).

Выходные данные

Для каждого набора входных данных выведите одно целое число — искомое минимальное количество толстых стен.

Примечание

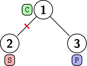
В первом случае мы можем установить одну толстую стену между комнатами \(1\) и \(2\), как показано ниже. Мы не можем установить \(0\) стен, так как тогда музыка из комнаты 3 дойдет до комнаты 2, где студент хочет спать, поэтому ответ равен \(1\). Существуют и другие допустимые решения.


Примеры
Входные данныеВыходные данные
1 3
3
1 1
CSP
4
1 2 2
PCSS
4
1 2 2
PPSS
1
1
2

time 1000 ms
memory 256 Mb
Правила оформления программ и список ошибок при автоматической проверке задач

Статистика успешных решений по компиляторам
 Кол-во
С++ Mingw-w643
Комментарий учителя