| | | |
|
Тапочки
Перебор
У меня в прихожей стоят в ряд 20 тапочек – 10 левых и 10 правых. Приходя домой, я переобуваюсь и выбираю два тапочка – левый и правый, в которые мне удобнее всего засунуть ноги. Естественно, что левый тапочек должен стоять левее правого, и расстояние (количество других тапочек) между ними должно быть как можно меньше. Напишите программу, которая вычисляет, сколько же тапочек стоит между теми, которые мне удобнее всего надеть.
Входные данные
Вводится последовательность из 10 нулей и 10 единиц, записанных в некотором порядке. Единица соответствует левому тапочку, 0 – правому тапочку. Числа разделены пробелами.
Выходные данные
Программа должна вывести количество тапочек между самыми удобными тапочками, или -1, если таких нет.
Примеры
| № |
Входные данные |
Выходные данные |
| 1 |
1 0 1 0 1 0 1 0 1 0 1 0 1 0 1 0 1 0 1 0 |
0 |
| |
|
|
Будильники
Условный оператор
Одномерные массивы
Дата и время
Перебор
Будильник в сотовом телефоне можно настроить так, чтобы он звонил каждый день в одно и то же время, либо в указанное время в определенный день недели. Независимо можно настроить несколько будильников.
По информации о будильниках и текущему времени и дню недели определите, когда прозвонит очередной будильник.
Входные данные
В первой строке вводятся три числа, задающие текущее время: день недели (от 1 до 7), часы и минуты.
Во второй строке вводится одно натуральное число N, не превосходящее 100 – количество будильников.
В следующих N строках вводятся описания N будильников. Описание каждого будильника состоит из трех чисел: дня недели (число от 1 до 7 для понедельника, …, воскресенья, соответственно, 0 – если будильник должен звонить каждый день), часов (от 0 до 23), минут (от 0 до 59).
Выходные данные
Выведите через пробел три числа, задающие день недели, часы и минуты, когда прозвонит ближайший будильник.
Примеры
| № |
Входные данные |
Выходные данные |
Пояснение |
| 1 |
2 10 20
2
1 23 15
0 10 10 |
3 10 10 |
|
| 2 |
7 1 1
3
7 0 59
7 23 59
7 1 1 |
7 1 1 |
Во втором примере третий будильник будет звенеть в начальный момент времени. |
| |
|
|
Буквы по кругу
Строки
Перебор
По кругу записано несколько букв (возможно, повторяющихся). Петя интересуется, сможет ли он прочитать некоторое слово, если будет двигаться по кругу (в каком-либо направлении), не пропуская буквы (откуда начинать, и в какую сторону двигаться, он может выбрать сам).
Входные данные
В первой строке записаны строчные латинские буквы в том порядке, в котором они расставлены по кругу по часовой стрелке. Буквы записаны без пробелов, их количество не меньше 1 и не больше 100.
Во второй строке записано слово, которое хочет найти Петя. Оно также состоит из строчных латинских букв и имеет длину от 1 до 100.
Выходные данные
Выведите YES заглавными латинскими буквами, если такое слово можно прочитать, двигаясь по кругу, и NO в противном случае.
Примеры
| № |
Входные данные |
Выходные данные |
| 1 |
abcdefg
abd |
NO |
| 2 |
abcdg
bag |
YES |
| 3 |
a
aaa |
YES |
| |
|
|
Преферанс
Циклы
Перебор
В некоторой карточной игре используется колода, в которой 4 туза. В игре принимает участие 4 игрока, каждому из которых раздается равное число карт, а две карты откладываются в прикуп.
Каждый игрок похвастал, сколько у него тузов. Определите, сколько игроков заведомо солгали.
Например, они сказали 1, 1, 1, 2. Следовательно, заведомо солгал 1 игрок. (Какие-то трое могли сказать правду, но все четверо правду сказать не могли, так как тузов всего 4).
Входные данные
Вводятся 4 числа (от 0 до 9 каждое), разделенных пробелом – количество тузов по словам первого, второго, третьего и четвертого игроков.
Выходные данные
Выведите одно число – минимальное количество игроков, которые заведомо солгали. Если все одновременно могли сказать правду, выведите число 0.
Примеры
| № |
Входные данные |
Выходные данные |
| 1 |
1 1 1 2 |
1 |
| 2 |
1 1 1 1 |
0 |
| |
|
|
Взвешивание
Перебор
Рекурсия
Даны двухчашечные весы и набор гирек. На левую чашу весов положили взвешиваемый предмет весом K граммов. Можно ли привести весы в состояние равновесия, и если можно, то определите для каждой чаши весов, какие гирьки на нее для этого нужно положить. Имеющиеся гирьки разрешается класть на любую из чаш весов (каждая гирька имеется только в одном экземпляре, некоторые гирьки можно не использовать).
Входные данные
Вводится сначала K — вес предмета, который положили на левую чашу (1≤K≤50). Далее записано общее количество гирек N (1≤N≤10). Далее записано N различных натуральных чисел, не превышающих 50, — веса гирек.
Выходные данные
В первой строке выведите веса гирек, которые нужно поместить на левую чашу весов, во второй строке — гирьки, которые нужно поместить на правую чашу. Если на какую-то чашу ни одной гирьки помещать не нужно — выведите в этой строке число 0. Если с помощью данных гирек привести весы в равновесие нельзя, выведите одно число –1. Если вариантов несколько, выведите любой из них.
Примеры
| № |
Входные данные |
Выходные данные |
| 1 |
5
2
3 5 |
0
5 |
| 2 |
5
3
6 3 4 |
4
3 6 |
| 3 |
5
1
2 |
-1 |
| |
|
|
Квас
Перебор
Обход в ширину
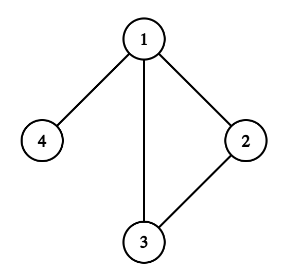
На тропическом острове в разгар туристического сезона особой популярностью пользуется квас. Раньше весь квас импортировался из России, но с увеличением популярности этого напитка встал вопрос о производстве кваса прямо на месте. На острове расположено N курортных городов, все города расположены на побережье. Вдоль побережья проходит единственная на острове кольцевая дорога, соединяющая все города. Движение по дороге возможно в любом направлении. Для каждого города известно, сколько бочек кваса требуется ему ежедневно.
Планируется построить всего один завод в каком-нибудь городе, и развозить продукцию по остальным городам. Перевозка одной бочки в соседний город стоит один тугрик (местная валюта).
Ваша задача состоит в том, чтобы определить, в каком из городов следует построить завод, чтобы минимизировать транспортные расходы.
Входные данные
Первая строка входных данных содержит число N – количество городов ( N ≤ 10) и еще N чисел – количество кваса, требуемое ежедневно 1-м, 2-м, …, N -м городом (города нумеруются подряд вдоль кольцевой дороги).
Выходные данные
Выведите одно число – номер города, в котором следует построить завод. Если подходящих городов окажется несколько – выведите номер любого из них.
Примеры
| № |
Входные данные |
Выходные данные |
Пояснение |
| 1 |
3 5 3 10 |
3 |
|
| 2 |
6 4 4 1 5 1 3 |
2 |
На острове 6 городов, потребность каждого города указана в кружочках, номер города рядом с кружочком.

Если построить завод во 2-м городе (он выделен серым), то потребуется заплатить 4 + 1 (стоимость перевозки в 1-й и 3-й города) + 5*2 + 3*2 (в 4-й и 6-й) + 1*3 (в 5-й см. рисунок).
Во 2-й вообще ничего не везем. Это будет 24 тугрика. Легко проверить, что если построить завод в других городах, сумма будет больше. Например, если построить в 4-м городе, то сумма составит 1 + 1 + 3*2 + 4*2 + 4*3 = 28 тугриков. |
| |
|
|
Простой квадрат
Простые задачи на перебор
Перебор
У Пети имеется игровое поле размером 3x3, заполненное числами от 1 до 9. В начале игры он может поставить фишку в любую клетку поля. На каждом шаге игры разрешается перемещать фишку в любую соседнюю по стороне клетку, но не разрешается посещать одну и ту же клетку дважды. Петя внимательно ведет протокол игры, записывая в него цифры в том порядке, в котором фишка посещала клетки. Пете стало интересно, какое максимальное число он может получить в протоколе. Помогите ему ответить на этот вопрос.
Входные данные
Входной файл содержит описание поля — 3 строки по 3 целых числа, разделенных пробелами. Гарантируется, что все девять чисел различны и лежат в диапазоне от 1 до 9.
Выходные данные
Выведите одно целое число — максимальное число, которое могло получиться в протоколе при игре на данном поле.
Ответ можно выводить не в виде числа, а в виде строки или в виде последовательности отдельных цифр (но не разделяя их пробелами).
Примеры
| № |
Входные данные |
Выходные данные |
| 1 |
1 2 3
4 5 6
7 8 9 |
987456321 |
| |
|
|
Схема игры
Перебор
Разбиения
В тактике футбола одним из основных понятий является схема игры. Она определяет, сколько из десяти полевых игроков будут играть в защите, сколько — в полузащите и сколько — в нападении.
Например, схема игры 5-3-2 означает, что в команде пять защитников, три полузащитника и два нападающих. В соответствии с современными представлениями на схему игры накладываются следующие ограничения: должно быть не менее одного и не более пяти защитников, не менее одного и не более пяти полузащитников и не более трех нападающих. Отметим, что нападающих может в команде и не быть совсем. Будем рассматривать только такие схемы.
Будем считать, что футбольное поле имеет длину 120 метров и ширину 80 метров. Введем на нем прямоугольную декартову систему координат таким образом, как показано на рисунке. Ворота рассматриваемой нами команды находятся слева.
Будем также считать, что игрок в некоторый момент времени находится в линии полузащиты, если он находится на расстоянии не более 20 метров от центральной линии. Соответственно, игрок находится в линии защиты, если он находится не более чем в 40 метрах от «своей» лицевой линии, и в линии нападения, если находится не более чем в 40 метрах от «чужой» лицевой линии.

Например, в ситуации, изображенной на рисунке, в линии защиты находятся четыре игрока, в линии полузащиты — три, в линии нападения — также три.
В процессе игры некоторые игроки могут перемещаться из одной линии в другую. В этой задаче будем считать, что возможно перемещение из полузащиты в защиту (и обратно) и из полузащиты в нападение (и обратно). Таким образом, игрок, который в соответствии со схемой игры является защитником, не может оказаться в линии нападения, и наоборот — игрок, который в соответствии со схемой игры является нападающим, не может оказаться в линии защиты. Кроме этого, в соответствии с установкой тренера из каждой линии в каждую могло перейти не более двух игроков.
Ваша задача состоит в том, чтобы написать программу, которая по положениям игроков в некоторый момент времени найдет все возможные схемы игры, при которых в течение игры могло возникнуть такое расположение игроков.
Входные данные
Входной файл содержит десять строк, содержащих по два целых числа xi и yi каждая, — координаты каждого из игроков команды (0 ≤ xi ≤ 120, xi ≠ 40, xi ≠ 80, 0 ≤ yi ≤ 80).
Выходные данные
В первой строке выходного файла выведите k — число схем игры, по которым может играть команда. В последующих k строках в произвольном порядке выведите описание каждой из этих схем. Следуйте формату данных, приведенному в примере.
Примеры
| № |
Входные данные |
Выходные данные |
| 1 |
97 0
13 18
2 6
119 11
42 21
72 80
75 78
106 45
22 67
28 47 |
9
2-5-3
3-5-2
3-4-3
4-5-1
4-4-2
4-3-3
5-4-1
5-3-2
5-2-3 |
| |
|
|
Bovine Genomics №2
Вывод формулы
Перебор
У Фермера Джона есть N коров с пятнами и N коров без пятен. Как генетик, ФД уверен, что пятна на его коровах вызваны мутацией коровьего генома.
За большие деньги ФД выписал геномы своих коров. Каждый геном - это строка длины M, состоящая из четырёх символов A, C, G, T. Когда он выписал геномы всех коров, он получил таблицу, представленную ниже для N=3:
Позиция: 1 2 3 4 5 6 7 ... M
Пятнистая корова 1: A A T C C C A ... T
Пятнистая корова 2: G A T T G C A ... A
Пятнистая корова 3: G G T C G C A ... A
Корова без пятен 1: A C T C C C A ... G
Корова без пятен 2: A G T T G C A ... T
Корова без пятен 3: A G T T C C A ... T
Посмотрев внимательно на эту таблицу он предположил, что позиции 2 и 4 могут отвечать за пятнистость. Поскольку, глядя на символы в этих позициях, ФД может предсказать, какая из его коров пятнистая, а какая - нет (например, если он видит G и С - значит, корова не пятнистая).
ФД предположил, что может быть объяснена множеством из трёх различных позиций. Помогите ему посчитать количество трёх различных позиций, которые могут объяснять пятнистость.
ФОРМАТ ВВОДА:
Первая строка ввода содержит NN (1≤N≤500) и MM (3≤M≤50). Каждая из следующих N строк содержит по M символов. Это описание геномов пятнистых коров. Следующие N строк описывают геномы коров без пятен.
ФОРМАТ ВЫВОДА:
Вычислите количество множеств из трёх различных позиций, которые могут объяснять пятнистость. Множество из трёх различных позиций может объяснять пятнистость, если пятнистость может быть предсказана абсолютно точно для популяции коров ФД, при анализе этих трёх позиций генома.
| Ввод |
Вывод |
|
3 8
AATCCCAT
GATTGCAA
GGTCGCAA
ACTCCCAG
ACTCGCAT
ACTTCCAT
|
22 |
| |
|
|
Where's Bessie?
Обход в глубину
Перебор
Задача на реализацию
Фермер Джон тестирует новую камеру, которая может "схватить картинку" и автоматически вычислить положение коров. К несчастью, у камеры не очень хороший алгоритм поиска коров и ФД нуждается в Вашей помощи.
Картинка, получаемая камерой, может быть описана решёткой из N×N символов, каждый в интервале A…Z, представляющих один из 26 возможных различных цветов. ФД считает наилучшим такой алгоритм распознавания коров: PCL (возможное размещение коровы) - это прямоугольник на решётке (возможно вся решётка) со сторонами параллельными сторонам решётки, не содержащий внутри других PCL и обладающий следующим свойством: внутри этого прямоугольника должны присутствовать ровно два цвета, один формирует непрерывный регион, а другой формирует два или более непрерывных регионов.
Например, такой образ
AAAAA
ABABA
AAABB
есть PCL, поскольку символы A формируют непрерывный регион, символы B форрмируют более одного непрерывного региона. Интерпретация - это корова с цветом A и с пятнами цвета B.
Регион является непрерывным, если вы может пройти его весь, перемещаясь из одной клетки в другую соседнюю по направлениям вверх, вниз, влево, вправо.
По заданному образу камеры ФД определите количество PCL.
ФОРМАТ ВВОДА:
Первая строка ввода содержит N, размер решётки (1≤N≤20). Следующие N строк описывают образ, каждая состоит из N символов.
ФОРМАТ ВЫВОДА:
Количество PCL в образе.
| Ввод |
Вывод |
|
4
ABBC
BBBC
AABB
ABBC
|
2 |
| |
|
|
Треугольники
Вывод формулы
Перебор
Фермер Джон хочет создать треугольное пастбище для своих коров.
Всего имеется N столбов забора (3 ≤ N ≤ 100) как различных (X1,Y1)…(XN,YN) точек на карте фермы. Он может выбрать три из них чтобы сформировать вершины треугольного пастбища, но так чтобы одна из сторон была параллельна оси x, а другая - параллельно оси y.
Какова сумма площадей всех возможных пастбищ, которые может сформировать ФД?
Входные данные
Первая строка содержит N.
Каждая из последующих N строк содержит два целых числа Xi и Yi, каждое в интервале −104…104 включительно, описывающих положение столба.
Выходные данные
Поскольку сумма площадей может быть числом не целым и очень большим, выведите остаток от деления удвоенной суммы площадей на 109+7.
Примеры
| № |
Входные данные |
Выходные данные |
Пояснение |
| 1 |
4
0 0
0 1
1 0
1 2
|
3 |
Точки (0,0), (1,0), (1,2) образуют треугольник с площадью 1.
Точки (0,0), (1,0), (0,1) образуют треугольник с площадью 0.5.
Поэтому ответ 2⋅(1+0.5)=3. |
| |
|
|
Palindromic Paths
Перебор
meet in the middle
Ферма Джона представлена решёткой из N×N полей(2≤N≤18), каждое из которых помечено буквой алфавита. Например,
ABCD
BXZX
CDXB
WCBA
Каждый день корова Беси идёт с левого верхнего угла в правый нижний, двигаясь либо на одну клетку вправо, либо на одну клетку вниз. Беси записывает строку, которая получается в результате её маршрута, построенную из букв, по которым она прошла. Он будет очень расстроена, если в результате построенная строка окажется палиндромом (читается одинаково от начала к концу и от конца к началу), поскольку она запутается в каком направлении она шла.
Пожалуйста, помогите Беси определить количество различных палиндромов, которые она сможет сформировать во время своего путешествия. Различные способы формировать один и тот же палиндром следует учитывать только один раз. Например, в примере выше имеется несколько способов сформировать палиндром ABXZXBA, однако существует всего 4 различных палиндрома, которые Беси может сформировать ABCDCBA, ABCWCBA, ABXZXBA, ABXDXBA.
ФОРМАТ ВВОДА :
Первая строка ввода содержит N, а последующие N строк содержат N описание поля. Каждая строка содержит по N символов в диапазоне A..Z.
ФОРМАТ ВЫВОДА :
Выведите количество различных палиндромов, которые Беси может сформировать.
| Ввод |
Вывод |
|
4
ABCD
BXZX
CDXB
WCBA
|
4 |
| |
|
|
Бесси поквиталась
Перебор
Фермер Джон и корова Беси в свободное время любят обмениваться математическими пазлами. Последний пазл, который ФД дал Беси, был довольно сложный и Беси не смогла решить его. Теперь она хочет дать ФД очень сложный пазл.
Беси даёт ФД выражение (B+E+S+S+I+E)(G+O+E+S)(M+O+O), содержащее семь переменных B,E,S,I,G,O,M ( "O" это переменная, а не 0). Для каждой переменной она даёт ФД список до 20 целых чисел, которые эта переменная может принять. Беси просит ФД посчитать количество различных способов назначить значения переменным, чтобы вычисленное выражение было чётным числом.
Входные данные
Первая строка ввода содержит целое число N. Каждая из N следующих строк содержит переменную и возможное значение для этой переменной. Каждая переменная появится в этом списке не менее одного раза и не более 20 раз. Для одной и той же переменной все задаваемые значения различны. Все значения находятся в диапазоне от −300 до 300.
Выходные данные
Выведите единственное целое число, задающее количество способов, которыми ФД может назначить значения переменным, чтобы выражение давало чётный результат.
| Ввод |
Вывод |
10
B 2
E 5
S 7
I 10
O 16
M 19
B 3
G 1
I 9
M 2
|
6 |
Всего имеется 6 подходящих вариантов назначения переменным значений:
(B,E,S,I,G,O,M) = (2, 5, 7, 10, 1, 16, 19) -> 53,244
= (2, 5, 7, 10, 1, 16, 2 ) -> 35,496
= (2, 5, 7, 9, 1, 16, 2 ) -> 34,510
= (3, 5, 7, 10, 1, 16, 2 ) -> 36,482
= (3, 5, 7, 9, 1, 16, 19) -> 53,244
= (3, 5, 7, 9, 1, 16, 2 ) -> 35,496
Заметим, что (2,5,7,10,1,16,19) и (3,5,7,9,1,16,19) рассматриваются как различные назначения, несмотря на то, что они дают одинаковый результат.
| |
|
|
Moocryption
Перебор
Коровы увлекаются словесными пазлами. Например, таким
USOPEN
OOMABO
MOOMXO
PQMROM
Как коровам, им интересно только единственное слово "MOO", которое может появиться во многих местах горизонтально, вертикально или по диагонали. Пример сверху содержит 6 таких слов.
Фермер Джон тоже любитель таких пазлов. Поскольку коровы не хотят, чтобы он разгадывал пазлы раньше коров, они зашифровали пазл, используя заменяющий шифр, который заменяет каждую букву алфавита некоторой другой, отличающейся буквой. Например, A может заменяться буквой X, B - буквой A и т.д. Никакая буква не заменяется собой и никакие две буквы не заменяются одной и той же буквой (иначе расшифровка может стать неоднозначной).
К несчастью, коровы потеряли свою таблицу шифрования и теперь не могут расшифровать свой пазл. Пожалуйста, помогите им определить максимально возможное количество слов MOO, которое может существовать для их пазла, при выборе соответствующей таблицы шифрования
ФОРМАТ ВВОДА :
Первая строка ввода содержит N и M, описывающие количество строк и столбцов в пазле (оба не более 50). Каждая из следующих N строк содержит по M символов, описывающих одну строку зашифрованного пазла. Каждый символ - большая латинская буква в диапазоне A..Z.
ФОРМАТ ВЫВОДА :
Выведите максимально возможное количество слов MOO, содержащееся в пазле, если его расшифровывать с соответствующей таблицей шифрования.
| Ввод |
Вывод |
|
4 6
TAMHGI
MMQVWM
QMMQSM
HBQUMQ
|
6 |
Пояснение
Это пазл, приведенный в начале задачи, где "M" и "O" были заменены на "Q" и "M" соответственно.
| |
|
|
Коровий алфавит
Перебор
Строки
Малоизвестен тот факт, что у коров свой алфавит "cowphabet". Он состоит из тех же 26 букв от 'a' до 'z', но в другом порядке.
Чтобы скоротать время, Беси бормочет cowphabet опять и опять. Фермеру Джону интересно, сколько раз она его пробормотала.
По заданной строке букв, которые ФД расслышал из бормотания Беси, определите минимальное количество раз, которое Беси должна пробормотать cowphabet, чтобы ФД услышал заданную строку. ФД не всегда обращает внимание на бормотание Беси, поэтому он может не расслышать некоторые буквы из бормотания Беси. Данная Вам строка содержит только те буквы, которые он услышал.
Входные данные
Первая строка ввода содержит 26 маленьких латинских букв от 'a' до 'z' в порядке их появления в cowphabet. Следующая строка содержит строку из маленьких латинских букв, которые услышал ФД. Эта строка имеет длину от 1 до 1000.
Выходные данные
Выведите минимальное количество раз, которое Беси пробормотала алфавит.
Примеры
| № |
Входные данные |
Выходные данные |
Пояснение |
| 1 |
abcdefghijklmnopqrstuvwxyz
mood
|
3 |
В этом примере cowphabet упорядочен как нормальный алфавит.
Бесси пробормотала cowphabet как минимум 3 раза. Ниже показано, как Беси бормотала, и большими буквами - какие буквы услышал ФД.
abcdefghijklMnOpqrstuvwxyz abcdefghijklmnOpqrstuvwxyz abcDefghijklmnopqrstuvwxyz
|
| |
|
|
Фотография коров
Перебор
Фермер Джон хочет сфотографировать своих пасущихся коров, чтобы повесить эту фотографию на стене. Пастбище представлено решёткой из N * N ячеек (как шахматная доска размером N×N) (2≤N≤1000). ФД хочет, чтобы коровы были распределены по пастбищу с выполнением следующих правил:
Никакие две коровы не могут находится в одной и той же ячейке.
Каждая подрешётка размером 2×2 (всего таких подрешёток (N−1)×(N−1)) должна содержать ровно 2 коровы
Например, такое размещение соотвествует правилам:
CCC
...
CCC
А такое размещение - нет
C.C
.C.
C..
поскольку 2×2 регион в правом нижем углу содержит только одну корову.
Других ограничений нет. Вы можете считать, что у ФД есть бесконечное количество коров.
Некоторые ячейки более предпочтительный для ФД, нежели другие. В частности, ФД считает. что если корова размещена в ячейке (i,j), красота фотографии увеличивается на aij (0≤aij≤1000) единиц.
Определите максимально возможную красоту корректного размещения коров.
Входные данные
Первая строка содержит число N. Каждая из следующих N строк содержит по N целых чисел. j-ое число в i-ой строке сверху есть значение aij.
Выходные данные
Выведите одно целое число - максимально возможную красоту результирующего фото.
Примеры
| № |
Входные данные |
Выходные данные |
Пояснения |
| 1 |
4
3 3 1 1
1 1 3 1
3 3 1 1
1 1 3 3
|
22 |
В этом примере максимальная красота может быть достигнута следующим размещением:
CC..
..CC
CC..
..CC
Красота этого размещения 3+3+3+1+3+3+3+3=22. |
| |
|
|
Гекльберри Финн и две строки
Хеш
Префиксные суммы(минимумы, ...)
Перебор
У Гекльберри Финна есть две строки s и t одинаковой длины n.
Гекльберри Финну нравится, когда у строк одинаковые префиксы (начала), поэтому он может поменять местами два символа в строке s, чтобы общий префикс строк s и t стал больше.
Однако этот трюк довольно утомительный, поэтому Гекльберри Финн либо совсем не будет его делать, либо сделает ровно один раз.
Помогите Гекльберри Финну определить наибольшую длину общего префикса строк s и t, которую он может получить.
Входные данные:
В первой строке дано натуральное число n (1 <= n <= 200000) - длина строк s и t
Во второй строке дана строка s, состоящая из строчных латинских букв.
В третьей строке дана строка t, состоящая из строчных латинских букв.
Выходные данные:
Выведите одно натуральное число - наибольшую длину общего префикса s и t, которую можно получить, применив операцию обмена двух символов в строке s не более одного раза.
Примеры:
| Входные данные |
Выходные данные |
3
wai
add |
1 |
5
qdyid
xreac |
0 |
| |
|
|
Культурный контакт
Хеш
Префиксные суммы(минимумы, ...)
Перебор
В начале XVIII века группа европейских исследователей прибыла на остров, населённый группой племён, никогда не вступавших в контакт с представителями европейской цивилизации.
Для успешного налаживания контактов с аборигенами руководитель группы планирует делать подарок вождю каждого встреченного племени. С этой целью он привёз длинную цепочку из стекляшек, похожих на драгоценные камни.
Представим цепочку как строку s, состоящую из маленьких букв английского алфавита, где каждая буква означает тип кусочка стекла на соответствующей позиции.
Исследователи собираются разрезать цепочку на некоторые фрагменты, после чего вручать ровно один фрагмент вождю каждого встреченного группой племени. Руководитель исследователей решил разделить цепочку на фрагменты согласно следующим правилами:
- Чтобы не тратить на разрезания много времени, каждый фрагмент должен являться группой соседних стекляшек цепочки, то есть подстрокой строки s.
- Все стекляшки должны быть использованы, то есть каждая стекляшка должна оказаться включённой ровно в один фрагмент.
- Поскольку исследователи не знают, как аборигены оценят те или иные виды стекляшек, они хотят, чтобы каждому вождю достался один и тот же набор стекляшек без учёта порядка. Иными словами, для любого типа стекляшек количество стекляшек этого типа должно быть одинаковым в каждом из фрагментов.
- Исследователи не знают, сколько племён обитает на острове, поэтому количество подготовленных фрагментов должно быть максимальным.
Помогите руководителю определить максимальное количество фрагментов, которое может получиться.
Входные данные:
В первой строке дана строка s (1 <= |s| <= 5000000).
Выходные данные:
Выведите одно число - максимально возможное количество фрагментов, на которое исследователи могут разрезать имеющуюся у них цепочку, не нарушая ни одного из условий, сформулированных руководителем группы.
Примеры:
| Входные данные |
Выходные данные |
| abbabbbab |
3 |
| aabb |
1 |
Пояснения:
В первом примере исследователи могут разбить цепочку 'abbabbbab' на фрагменты 'abb', 'abb', 'bab', тогда вождю каждого встреченного ими племени достанется по одной стекляшке типа 'a' и по две стекляшки типа 'b'.
Во втором примере строку невозможно поделить цепочку больше чем на один фрагмент, соблюдая все условия.
| |
|
|
Xor-пути в матрице
meet in the middle
Перебор
Задано прямоугольное поле размера n*m. В каждой клетке записано целое неотрицательное число. Требуется посчитать количество путей из клетки (1,1) в клетку (n,m), удовлетворяющих следующим условиям.
1) Из каждой клетки можно перемещаться только вниз или вправо, не выходя при этом за пределы поля.
2) Побитовое исключающее ИЛИ всех чисел на пути должно быть равно k.
Найдите количество подходящих путей для заданного поля.
Входные данные
Первая строка содержит три целых числа n, m и k (1 <= n, m <= 20, 0 <= k <= 1018) - высота и ширина поля, и число k.
Следующие n строк содержат по m целых чисел ai,j, где j-й элемент i-й строки равен ai,j (0 <= ai,j <= 1018).
Выходные данные
Выведите одно целое число - количество путей, удовлетворяющих всем условиям.
Примеры
| № |
Входные данные |
Выходные данные |
| 1 |
3 3 11
2 1 5
7 10 0
12 6 4 |
3 |
| 2 |
3 4 2
1 3 3 3
0 3 3 2
3 0 1 1 |
5 |
| |
|
|
Orders
Обход в глубину
Перебор
Бор
Блейз отправляет приказы на перемещение своим войскам, собранным из жителей одной из теней. К сожалению, они не понимают амберский язык, поэтому Блейзу приходится отправлять им сообщения на их родном языке.
В этом и заключается проблема: Амберийский принц плохо знает орфографию этого языка, поэтому иногда он делает ошибки в словах, но не более одной ошибки в слове.
В языке очень много слов, поэтому если в слове изменится хотя бы одна буква, то его смысл может кардинально измениться. Если армия не правильно поймет приказ, то вся военная кампания может провалиться. Поэтому Блейзу очень важно проверять правильность в написании слов. Он решил попросить вас помочь ему.
Вы должны создать программу, которая будет выводить в лексикографическом порядке все возможные слова, которые Блейз мог пытаться написать с учетом того, что он мог ошибиться 1 раз.
Входные данные
В первой строке на вход подается числа n и m - количество приказов, которые отдал Блейз, и количество команд, которые понимают его войска соответственно. (1 <= n, m <= 5000)
В следующей строке на вход подаются m слов - команды, которые понимают войска Блейза.
В следующих n строках на вход подаются слова - приказы, которые отдает Блейз.
Все строки длиной не превышают 100.
Выходные данные
Выведите n строк: в строке номер i содержится ответ на задачу для приказа Блейза номер i. Строки, являющиеся ответом на этот запрос, выводятся через пробел в одну строку.
Пример
Ввод
5 5
is in if on of
it
in
of
ij
op
Вывод
if in is
if in is on
if of on
if in is
of on
(с) Евгений Григорьев
| |
|
|
7151
Одномерные массивы
Перебор
Известны очки (3, 1 или 0), полученные футбольной командой за ряд игр в порядке их проведения. Известно, что команда как минимум одну игру выиграла и как минимум одну игру проиграла.
Что было раньше: первый выигрыш (3 очка) или первый проигрыш (0 очков)?
В первой строке вводится количество проведенных командой игр (не менее 2 и не более 15).
Во второй строке вводятся очки за каждую проведенную игру.
Если выигрыш встретился раньше, то вывести слово WIN.
Если проигрыш встретился раньше, то вывести слово LOSE.
Примеры
| № |
Входные данные |
Выходные данные |
| 1 |
4
1 0 1 3
|
LOSE
|
| |
|
|
Конфеты и коробки
Цикл for
Одномерные массивы
Перебор
В ряд расположены N ящиков. Изначально в i-м ящике слева находится ai конфет. Громозека выбирает ящик, содержащий хотя бы одну конфету, и съедает одну из конфет в выбранном ящике.Он может выполнять это действие любое количество раз. Его цель добиться того, чтобы в любых двух соседних коробках содержалось не более x конфет.
Найдите минимальное количество операций, необходимых для достижения цели Громозеки.
Входные данные
В первом строке задается два числа N (\(2<=N<=10^5\)) и x (\(0<=x<=10^9\)). Во второй строке содержится N целых чисел ai (\(0<=a_i<=10^9\)).
Выходные данные
Выведите ответ на задачу.
Примеры
| № |
Входные данные |
Выходные данные |
Пояснения |
| 1 |
3 3
2 2 2 |
1 |
Необходимо съесть одну конфету во второй коробке. Тогда количество конфет в каждой коробке станет (2,1,2). |
| 2 |
6 1
1 6 1 2 0 4 |
11 |
Например, можно съесть шесть конфет во второй коробке, две в четвертой и три в шестой. Тогда количество конфет в каждой коробке станет (1,0,1,0,0,1). |
| 3 |
5 9
3 1 4 1 5 |
0 |
Цель уже достигнута |
| 4 |
2 0
5 5 |
10 |
Все конфеты должны быть съедены. |
| |
|
|
Все ПСП
Рекурсия
Динамическое программирование
Перебор
Перебор с возвратом
Дано число n. Вам необходимо сгенерировать все правильные скобочные последовательности, содержащие n пар скобок.
Входные данные
В первой строке дано натуральное число n (1 <= n <= 8).
Выходные данные
Выведите все правильные скобочные последовательности по возрастанию в лексикографическом порядке. Каждую в отдельной строке.
| |
|
|
Счастливого Нового Года!
Рекурсия
Перебор
Рекурсивный перебор
В каком-то другом мире сегодня 31 декабря. Дед Кокованя решил приготовить многомерный бургер, который так любит Дарёна. Бургер уровня L (L - целое число, большее или равное 0) готовится следующим образом:
- Бургер нулевого уровня - это котлета.
- Бургер с уровнем
L (L >= 1) - это булочка, бургер с уровнем (L-1), котлета, бургер с другим уровнем (L-1) и еще одна булочка, уложенные вертикально в указанном порядке, считая снизу.
Например, бургер уровня 1 и бургер уровня 2 выглядят как БКККБ и ББКККБКБКККББ (повернутые на 90 градусов), где Б и К обозначают булочку и котлету.
Бургер, который приготовит дед Кокованя, - это бургер уровня N. Дарёна всегда съедает только Х слоев нижней части бургера (слой - это котлета или булочка). Сколько котлет она съест?
Входные данные
Программа получает на вход 2 целых числа через пробел: N и X (1 <= N <= 50, 1 <= X <= (общее количество слоев в бургере N-го уровня)).
Выходные данные
Выведите количество котлет в самых нижних X слоях, считая от нижней части бургера уровня N.
Примеры
| № |
Входные данные |
Выходные данные |
Пояснение |
| 1 |
2 7 |
4 |
В самых нижних 7 слоях бургера второго уровня ( ББКККБКБКККББ) находятся 4 котлеты. |
| 2 |
1 1 |
0 |
|
| 3 |
50 4321098765432109 |
2160549382716056 |
Бургер 50-го уровня довольно толстый настолько, что количество его слоев не укладывается в 32-битное целое число. |
| |
|
|
Сенсор
Комбинаторика
Перебор
Артем создает интерактивный сенсор для игры в кости. Сенсор встроен в стол и может считать суммарное число точек на гранях всех брошенных костей, прилегающих к сенсору (то есть, на нижних гранях). Позже Артем понял, что для игры нужно считать сумму не на нижних, а на верхних гранях. Артем хочет написать программу, которая по сумме на нижних гранях сможет находить количество различных возможных сумм на верхних гранях. Но так как Артем не силен в программировании, он поручает эту задачу вам.
Сенсор выдает число s равное суммарному числу точек на нижних гранях игральных костей.
Все бросаемые кости шестигранные и удовлетворяют условию правильной игральной кости, то есть сумма точек на противоположных гранях кубика равна семи (1 и 6, 2 и 5, 3 и 4). Вам необходимо найти количество возможных сумм на верхних гранях кубиков.
Формат входных данных
В первой строке входного файла задано число s сумма на нижних гранях костей (s <= 105).
Формат выходных данных
Выведите одно число: количество различных всевозможных сумм на верхних гранях костей.
Пояснение к примеру
В первом примере на нижних гранях могло выпасть 1 + 1 или 2, суммы на верхних гранях 12 и
5, соответственно.
| |
|
|
Турист Петр
Перебор
На отдыхе в Теплой Стране Вера познакомилась с симпатичным волейболистом- трактористом Петром. Турист Петр, кстати, собирается после отличного отдыха в Теплой Стране отправиться в путешествие по городам Европы. Как известно, Европа облада- ет развитой транспортной системой: в Европе есть V интересующих Петра городов и E маршрутов ночных поездов. Каждый маршрут соединяет два различных города, время в пути составляет одну ночь. Поезда по маршруту ходят в обоих направлениях.
Основной целью поездки Петра является осмотр местных достопримечательностей. Поскольку Петр — невероятно занятой человек, то он решил, что все путешествие должно занимать не более четырех дней. Петр уже многое повидал, поэтому на осмотр досто- примечательностей в каждом городе Петр тратит ровно один день. Он хочет составить наиболее практичный тур: каждый день он будет тратить на осмотр города, а каждую ночь — на переезд ночным поездом между городами. Разумеется, Петр не имеет ни ма- лейшего желания посещать один город несколько раз.
Но на этом прагматичность Петра не заканчивается: Петр, как настоящий турист, хо- чет посмотреть на самые красивые европейские достопримечательности. Он долго изучал справочники и для каждого города оценил свою ожидаемую радость от его посещения pi. Теперь он хочет найти маршрут, при котором его радость будет наибольшей. Помогите Петру найти такой маршрут.
Формат входного файла
В первой строке входных данных заданы два целых числа V и E (1 <= V, E <= 3 · 105 ) — количество городов и маршрутов поездов, соответственно. В следующей строке заданы V целых чисел pi (1 <= pi <= 108 ), где pi обозначает ожидаемую радость от посещения го- рода с номером i. В следующих E строках заданы описания маршрутов поездов. Каждое описание состоит из пары различных чисел ai и bi (1 <= ai, bi <= V ) — номеров городов, меж- ду которыми курсирует этот маршрут поезда. Гарантируется, что между каждой парой городов существует не более одного маршрута поезда.
Формат выходного файла
В первой строке выходных данных выведите число K (1 <= K <= 4) — количество горо- дов в оптимальном маршруте туриста Петра. В следующей строке выведите номера этих городов в порядке посещения. Города нумеруются начиная с единицы. Если оптимальных маршрутов несколько, выведите любой из них.
| Ввод |
Вывод |
5 4
4 2 3 1 5
1 2
2 3
3 4
4 5 |
4
2 3 4 5 |
4 3
1 2 3 4
1 2
1 3
1 4 |
3
4 1 3 |
| |
|
|
Бельвита и вывеска для пекарни
Перебор
Завтра Бельвита открывает свою пекарню, однако она до сих пор не подготовила вывеску для своего заведения.
В чулане у Бельвиты имеется n наборов табличек, каждый из которых содержит по 3 одинаковых таблички, на которых записано ровно две строчные латинские буквы. Бельвите не принципиально как именно будет называться ее пекарня, однако она хочет, чтобы в итоговом названии содержалась подстрока s, которая тоже состоит из двух строчных латинских букв.
Помогите Бельвите понять, можно ли выбрать некоторые из имеющихся табличек и составить из них название пекарни, чтобы оно содержало необходимую подстроку.
Входные данные
Первая строка содержит две строчные латинские буквы - строка s, которую Бельвита хочет видеть в названии пекарни. Вторая строка содержит одно целое число n (1 <= n <= 100) - количество наборов табличек в чулане. Следующие n строк содержат по две строчные латинские буквы каждая, описывающие надписи на табличках в наборах.
Выходные данные
Выведите «YES», если Бельвита может выбрать несколько табличек так, чтобы в получившемся слове была подстрока s, и «NO» иначе.
Примеры
| № |
Входные данные |
Выходные данные |
Примечание |
| 1 |
ya
4
ah
oy
to
ha |
YES |
Можно использовать третий, второй и первый набор, составив слово "tooyah", в котором есть подстрока "ya". |
| 2 |
hp
2
ht
tp |
NO |
Получить слово с подстрокой "hp" никак нельзя. |
| 3 |
ah
1
ha |
YES |
Можно использовать две из трех табличек первого набора, составив слово "haha", где есть подстрока "ah". |
| |
|
|
Бельвита и пифагоровы тройки
Линейный поиск
Перебор
Сегодня Бельвита узнала про пифагоровы тройки. Если вы вдруг не знали, то это тройка целых чисел (a, b, c) таких, что можно образовать прямоугольный треугольник с длинами первого катета, второго катета и гипотенузы, равными a, b и c соответственно. Более формально, должно выполняться, что a2 + b2 = c2.
Вечером она решила поискать существующие пифагоровы тройки, но забыла формулу. В итоге вместо правильного критерия она использовала следующий: c = a2 - b.
Вскоре Бельвита опознала ошибку, однако по ее критерию нашлись такие тройки чисел, что они действительно являлись пифагоровыми.
Это заинтересовало Бельвиту и она решила посчитать количество троек целых чисел (a, b, c) таких, что 1 <= a, b, c <= n и они подходят и под настоящую формулу пифагоровых троек, и под ошибочную.
Посчитайте и вы.
Входные данные
Первая строка содержит одно целое число n (1 <= n <= 109).
Выходные данные
Выведите одно число - количество троек целых чисел (a, b, c) таких, что они подходят под оба критерия.
Примеры
| № |
Входные данные |
Выходные данные |
| 1 |
3
|
0
|
| 2 |
9
|
1
|
| |
|
|
Гармоничная последовательность lite - 1
Простые задачи на перебор
Перебор
Цикл лекций в университете Флатландии посвящен изучению последовательностей.
Профессор называет последовательность целых чисел \(a_1, a_2, ..., a_n\) гармоничной, если каждое число, кроме \(a_1\) и \(a_n\), равно сумме соседних: \(a_2 = a_1 + a_3, a_3=a_2+a_4, ..., a_{n-1}=a_{n-2}+a_n\). Например, последовательность [1,2,1,–1] является гармоничной, поскольку 2=1+1, и 1=2+(–1) .
Рассмотрим последовательности равной длины: \(A=[a_1,a_2, ... a_n]\) и \(B=[b_1,b_2, ... b_n]\). Расстоянием между этими последовательностями будем называть величину \(d(A,B)= |a_1-b_1|+|a_2-b_2|+...+|a_n-b_n|\) . Например, \(d([1,2,1,–1][1,2,0,0])=|1–1|+|2–2|++|1–0|+|–1–0|=0+0+1+1=2 \)
В конце лекции профессор написал на доске последовательность из n целых чисел \(B=[b_1,b_2, ... b_n]\)и попросил студентов в качестве домашнего задания найти гармоничную последовательность \(A=[a_1,a_2, ... a_n]\), такую, что \(d(A, B)\) минимально. Чтобы облегчить себе проверку, профессор просит написать в качестве ответа только искомое минимальное расстояние \(d(A,B)\) .
Требуется написать программу, которая по заданной последовательности B определяет, на каком минимальном расстоянии от последовательности B найдется гармоничная последовательность A.
Входные данные
Первая строка содержит целое число n – количество элементов в последовательности ( \(3 \le n \le 100\)).
Вторая строка содержит n целых чисел \(b_1, b_2, …, b_n (–100 \le b_i \le 100 )\) .
Выходные данные
Выведите одно целое число: минимальное возможное расстояние от исходной до гармоничной последовательности.
Примеры
| № |
Входные данные |
Выходные данные |
| 1 |
4
1 2 0 0 |
2 |
| |
|
|
Отслеживание контактов
Задача на реализацию
Задачи на моделирование
Перебор
Фермер Джон продолжает заботиться о здоровье своих коров, последовательно пронумерованных 1…N.
Недавно ФД проверил их всех и выяснил, что некоторые из них больны. Используя видео из амбара, ФД может узнать какие пары коров взаимодействовали распространяя при этом болезнь. ФД собрал список с указанием времени, в которое происходило взаимодействие пар коров в видео (t,x,y), означающем, что в момент времени t корова x взаимодействовала с коровой y. Также ФД знает следующее:
- Ровно одна корова была инфицирована изначально (нулевой пациент).
- После того, кaк корова инфицирована, она передаёт инфекцию её следующим K взаимодействиям (возможно включая одного и того же партнера несколько раз). После
K раз передачи инфекций, она перестаёт передавать инфекцию (осознав что заражает, она начинает тщательно мыть копыта).
- Однажды заболев, она остаётся больной.
К несчастью, ФД не знает, какая из его N коров, является "нулевым пациентом", кроме того он не знает значение K!. Помогите ему сузить диапазоны этих неизвестных, основываясь на его данных. Гарантируется, что ответ существует.
Входные данные
Первая строка ввода содержит N (2<= N <=100) и T (1 <= T <= 250). Следующая строка содержит строку длиной N, состоящую из 0 и 1, описывающую текущее состояние N коров ФД, 0 - здорова, 1 - больна. Каждая из последующих T строк описывает запись из списка взаимодействий ФД, и состоит из трёх чисел, t,x,y, где t - положительное целое время взаимодействия (t <= 250), x и y - различные целые в интервале 1…N, указывающее какие коровы взаимодействовали в момент времени T. В один момент времени T происходит не более одного взаимодействия.
Выходные данные
Выведите одну строку, содержащую три целых числа x,y,z, где x - количество различных коров, которые могли быть "нулевым пациентом", y - минимально возможное значение K, подходящее к исходным данным, z - наибольшее возможное значение K, подходящее к исходным данным. Если для K нет верхней границы, выведите "Infinity" для z. Заметим, что возможно K=0.
Примеры
| № |
Входные данные |
Выходные данные |
| 1 |
4 3
1100
7 1 2
5 2 3
6 2 4 |
1 1 Infinity |
| |
|
|
Гармоничная последовательность lite - 2
Простые задачи на перебор
Перебор
Цикл лекций в университете Флатландии посвящен изучению последовательностей.
Профессор называет последовательность целых чисел \(a_1, a_2, ..., a_n\) гармоничной, если каждое число, кроме \(a_1\) и \(a_n\), равно сумме соседних: \(a_2 = a_1 + a_3, a_3=a_2+a_4, ..., a_{n-1}=a_{n-2}+a_n\). Например, последовательность [1,2,1,–1] является гармоничной, поскольку 2=1+1, и 1=2+(–1) .
Рассмотрим последовательности равной длины: \(A=[a_1,a_2, ... a_n]\) и \(B=[b_1,b_2, ... b_n]\). Расстоянием между этими последовательностями будем называть величину \(d(A,B)= |a_1-b_1|+|a_2-b_2|+...+|a_n-b_n|\) . Например, \(d([1,2,1,–1][1,2,0,0])=|1–1|+|2–2|++|1–0|+|–1–0|=0+0+1+1=2 \)
В конце лекции профессор написал на доске последовательность из n целых чисел \(B=[b_1,b_2, ... b_n]\)и попросил студентов в качестве домашнего задания найти гармоничную последовательность \(A=[a_1,a_2, ... a_n]\), такую, что \(d(A, B)\) минимально. Чтобы облегчить себе проверку, профессор просит написать в качестве ответа только искомое минимальное расстояние \(d(A,B)\) .
Требуется написать программу, которая по заданной последовательности B определяет, на каком минимальном расстоянии от последовательности B найдется гармоничная последовательность A.
Входные данные
Первая строка содержит целое число n – количество элементов в последовательности ( \(3 \le n \le 500\)).
Вторая строка содержит n целых чисел \(b_1, b_2, …, b_n (–100 \le b_i \le 100 )\) .
Выходные данные
Выведите одно целое число: минимальное возможное расстояние от исходной до гармоничной последовательности.
Примеры
| № |
Входные данные |
Выходные данные |
| 1 |
4
1 2 0 0 |
2 |
| |
|
|
Вордл наоборот
Строки
Задача на реализацию
Перебор
Камила и Динара играют в <<Wordle>>. Камила загадала слово длины \(n\), состоящее из различных латинских букв. Динара сделала одну попытку угадать и назвала слово длины \(n\), также состоящее из различных латинских букв. Камила раскрасила буквы в догадке Динары в соответствии со следующими правилами:
-
Буква, совпадающая с буквой в загаданном слове, красится в зеленый цвет и обозначается G.
-
Буква, которая присутствует в загаданном слове, но стоит не своей позиции, красится в жёлтый цвет и обозначается Y.
-
Буква, отсутствующая в загаданном слове, красится в белый цвет и обозначается W.
Например, если было загадано слово ALERT, а догадка была ALONE, то буквы будут раскрашены в цвета GGWWY. Первые две буквы в словах совпадают, поэтому они зеленые. Буква E есть в загаданном слове, но находится на другой позиции, поэтому она жёлтая. Остальные буквы белые, так как их нет в загаданном слове.
Проснувшись следующим утром, Динара увидела, что буквы в ее слове не разобрать, так как они закрашены гуашью. Динара поняла, что забыла свою догадку. Помогите ей и определите, существует ли слово из различных букв, которое было бы раскрашено таким образом, и если существует, выведите любое такое слово.
В первой строке вводится одно целое число \(n\) \((1 \le n \le 10)\) — длина загаданного слова.
Во второй строке вводится строка длины \(n\), состоящая из заглавных латинских букв — загаданное слово. Гарантируется, что все буквы в нем различны.
В третьей строке вводится строка длины \(n\), состоящая из букв G, Y, W — цвета, в которые были раскрашены буквы в слове Динары.
Если подходящих слов не существует, выведите No.
Если хотя бы одно подходящее слово существует, в первой строке выведите Yes, во второй — любое подходящее слово.
Разберем первый пример из условия.
Буквы H и G не встречаются в загаданном слове, поэтому они белые.
Буквы E и B встречаются, но на других позициях, поэтому они жёлтые
Буквы C и D совпадают с буквами на соответствующих позициях в загаданном слове, поэтому они зелёные.
Есть и другие ответы, любой правильный ответ будет зачтен.
Обратите внимание, что строка HECDBH не является ответом, так как в ней есть совпадающие буквы.
| |
|
|
Двоичные числа
Перебор
Найдите количество чисел Z, удовлетворяющих неравенству A ≤ Z ≤ B, таких, что в записи Z
в двоичной системе счисления используется ровно 2 единицы. Например, если A=10; B=20; то таких чисел 5 (это числа 10=10102; 12=11002; 17=100012; 18=100102; 20=101002).
Входные данные
На вход программы поступают два числа, записанных через пробел — A, B ( 0 ≤ A, B ≤ 109)
Выходные данные
Выведите одно число – количество чисел Z.
| |
|
|
Выражение
Перебор
Даны N целых чисел X1, X2, ..., XN. Расставить между ними знаки "+" и "-" так, чтобы значение получившегося выражения было равно заданному целому S.
Входные данные
В первой строке находятся числа N и S. В следующей строке - N чисел через пробел. 2 <= N <= 24, 0 <= Xi <= 50 000 000, -1 000 000 000 <= S <= 1 000 000 000.
Выходные данные
Если получить требуемый результат невозможно, вывести "No solution", если можно, то вывести равенство. Если решение не единственное, вывести любое.
| |
|
|
Разложение на слагаемые
Перебор
Вывести все представления натурального числа N суммой натуральных чисел. Перестановка слагаемых нового способа представления не даёт.
Входные данные
В первой строке находится единственное число N. 2 <= N <= 40
Выходные данные
В каждой строке выводится одно из представлений. В сумме слагаемые разделяются знаком "+".
| |
|
|
Скобки(2)
Перебор
Стек
Вывести все правильные скобочные выражения длиной N, состоящие из круглых и квадратных скобок.
Входные данные
В первой строке находится единственное число N. 1 <= N <= 14, N - чётное.
Выходные данные
Каждое выражение выводится в отдельной строке, порядок вывода последовательностей произвольный.
| |
|
|
Крестики
Двумерные массивы
Перебор
Требуется расставить в некоторые клетки таблицы 3 x 3 крестики так, чтобы в каждой строке и в каждом столбце было заданное количество крестиков.
Входные данные
Вводятся 6 чисел (от 0 до 3) – требуемое количество крестиков в первом, втором, третьем столбце, в первой, второй, третьей строке.
Выходные данные
Требуется выдать количество возможных таблиц или 0, если таких таблиц нет.
| |
|
|
Ферзи
Перебор
На шахматной доске (размером 8 × 8 клеток) стоит несколько ферзей. За один ход разрешается взять одной фигурой другую (цвет фигур значения не имеет; ходы без взятия делать нельзя). Требуется найти последовательность ходов: за каждый ход один из ферзей может взять другого ферзя. В результате доске должна остаться одна фигура. После каждого хода количество ферзей на поле должно уменьшиться.
Ферзь ходит по горизонтали, вертикали или диагонали на любое число клеток. Он не может перепрыгивать через другие фигуры.
Входные данные
В восьми строках входного файла записаны по 8 символов, описывающих шахматную доску: ферзь обозначается буквой Q, точка обозначает пустую клетку. На доске изначально стоит не менее двух и не более десяти ферзей.
Выходные данные
В выходной файл выведите возможную последовательность в следующем формате. Для каждого хода указывается сначала клетка, с которой делается ход, затем двоеточие, затем клетка, на которую делается ход. Клетка задается столбцом и строкой: столбцы нумеруются слева направо строчными латинскими буквами a, b, c, d, e, f, g, h; строки — снизу вверх цифрами 1, 2, 3, 4, 5, 6, 7, 8.
Если решений несколько, приведите любое из них. Если решений нет, выведите NO SOLUTION
| |
|